Consolidation Analysis
Program allows analysis of consolidation when set in the frame "Settings". Consolidated layer, formed by impermeable, resp. lower permeable soil, subsequently settles with increasing time. Consolidation affects values of pore pressure. Soil parameters influencing consolidation analysis are entered in the frame "Soils", other consolidation parameters are set in the frame "Analysis" in individual construction stages.
Consolidation coefficient, depended on the soil properties, is calculated:

where: | Eoed | - | |
k | - | ||
γw | - | unit weight of water |
When the consolidated layer is composed from non-homogeneous soil, coefficient cv is evaluated as average of soil coefficients.
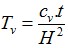
Consolidation analysis is also influenced by time factors, which are depended on the path of water outflow. This path is equal to the thickness of the consolidated layer in case of only one direction outflow (upwards or downwards) or half of the thickness in case of both directions outflow (upwards and downwards). Real time factor is evaluated according to the following formula:
![]()
where: | cv | - | consolidation coefficient |
t | - | real time | |
H | - | drainage path |
Time factor of build duration is influenced by duration of load action. When the entire load is introduced at the beginning of stage, build time is equal to zero. When load linearly increases during stage duration, then build time is equal to the time of stage duration. Time factor of build duration is calculated by formula:
![]()
where: | cv | - | consolidation coefficient |
tc | - | build time | |
H | - | drainage path |
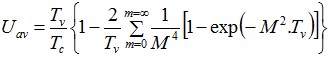
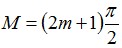
Degree of consolidation is evaluated by following formulas:
for: |
|
|
for: |
|
|
where: |
|
where: | Tv | - | real time factor |
Tc | - | time factor of build duration |
Original value of deformation in consolidated layer in certain construction stage is multiplied by corresponding degree of consolidation Uav to obtain result value of deformation:
![]()
where: | εfin | - | result value of deformation |
ε | - | original value of deformation | |
Uav | - | degree of consolidation |
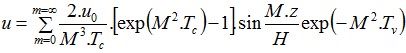
Consolidation analysis also influences pore pressure values in consolidated layer. In the time of introducing the load action, pore pressure values are the highest. When time increases to theoretical infinity, pore pressure decreases to zero.
Pore pressure:
for: |
|
|
for: |
|
|
where: |
|
where: | Tv | - | real time factor |
Tc | - | time factor of build duration | |
H | - | drainage path | |
z | - | depth, where value of pore pressure is evaluated | |
u0 | - | change of effective stress compared to previous stage (load) |
Literature:
Braja M. Das. Advanced Soil Mechanics; Taylor & Francis: London, 2008.pp278 - 316Verruijt A. Soil Mechanics, Delft University of Technology, 2010, pp97-123.
http://geo.verruijt.net/software/SoilMechBook.pd.



